

第20届中国CAE工程分析技术年会暨第6届中国数字仿真论坛征文通知
基于ABAQUS比较研究桩-土接触关系 的两种建模方法
基于SVD-Kriging的三维稳态模型降阶方法
针对工程机械三维稳态模型仿真中计算量大、效率低的问题,提出了一种基于SVD-Kriging方法(奇异值分解-克里金方法)的三维稳态系统模型降阶方法。首先,通过模拟计算获取三维稳态系统数据集,基于SVD-LOO(留一法)分解输出矩阵,获取最佳阶数及对应基函数;其次,通过Kriging模型及基函数,构建输入参数与输出矩阵的映射关系,最终实现通过提供任一组稳态输入常量得到三维系统多点稳态响应。该方法在三维稳态管道系统数据集上的验证结果表明,该降阶方法可有效提升计算效率并保持较高的预测精度。此外,利用该方法对电动正面吊电池系统温度场进行降阶计算,并应用于数字孪生技术,以辅助电动正面吊能耗优化,进一步证明了该方法在实际工程应用中的有效性和实用性。 关键词:模型降阶;三维稳态系统;SVD;kriging;代理模型
基于PLC和RobotStudio的冻干香菇自动化分选工作站仿真设计
传统冻干香菇分选生产线主要以人工操作为主,分选精度低、劳动强度大。本文融合了PLC控制技术和RobotStudio仿真软件,设计了一种冻干香菇自动化生产的分选工作站。针对冻干香菇分选包装工艺进行方案设计,分析分选流程,明确工作站的总体布局;应用RobotStudio软件中smart组件模拟传感器信号并完成系统动作仿真,进行控制系统的I/O分配,编写控制程序实现冻干香菇分选系统虚拟动作仿真;将西门子博图软件与RobotStudio进行通讯连接,完成调试环境搭建,使用PLCSIM Advance V3.0将PLC程序与RobotStudio通信关联,重建工作站仿真逻辑,实现冻干香菇分选系统虚拟仿真联调。仿真设计的结果显示,通过合理的路径规划和程序参数控制,可以达到生产需求,有助于提高生产线的生产率。
基于近场动力学的薄壳结构大变形多GPU并行加速方案
壳结构在载荷作用下的变形、旋转,会导致结构产生裂纹萌生和扩展,最终导致结构的断裂及失效。传统的有限元方法基于连续介质力学理论框架建立物质模型,由于其理论基础与断裂这种不连续问题之间存在矛盾,这给处理复杂的断裂问题带来了挑战。近场动力学(Peridynamic,PD)基于非局部作用思想建模,采用积分方程求解物质点的运动,在裂纹扩展分析中具有独特优势。然而,相对于传统的有限元方法,PD计算效率很低。为解决计算效率问题,本研究介绍了一种基于多GPU的并行加速PD算法,该算法设计用于解决计算统一设备架构(CUDA)框架下壳体结构因大变形而产生的裂纹扩展及断裂问题。该算法结合了节点(单元)与计算方法映射两种并行模式。该算法通过对GPU内存资源的有效利用,实现了进一步的并行计算。GPU的并行计算能力加快了裂纹分析的数值模拟,实验验证了该并行算法的准确性、有效性和工程应用价值,证明了该算法在推进壳结构断裂分析方面的潜力。
特斯拉Model Y音箱下盖变形 CAE分析优化
本文针对目前改性塑料注塑制件翘曲变形,尤其是改性加玻纤类取向比较强的塑料制件的注塑翘曲变形的机理进行了探讨,并提供解决方案,以缩短研发周期,降低研发成本;本文主要以模流分析指导模具设计,对改性塑料加玻纤取向比较强的塑料制件的注塑翘曲变形的机理进行探讨,从模具浇口的位置及数量入手以实际解决特斯拉Model Y低音音箱壳体下盖翘曲变形为例探讨解决改性塑料注塑零部件翘曲变形的方法,从而缩短研发周期,降低研发成本。
螺旋槽干气密封流场特性的数值研究
本文针对螺旋槽干气密封,采用数值计算方法,分析了工况参数和槽型参数对干气密封气膜润滑性能的影响。基于气膜润滑理论,采用有限差分法对雷诺方程和膜厚控制方程进行耦合求解,获得气膜润滑的压力分布规律。以干气密封稳态性能参数开启力和泄漏率为评价指标,对比分析转速、槽数、槽深对干气密封气膜润滑性能的影响,获得具有润滑特性的计算模型及较优参数范围。结果表明:干气密封稳态性能参数随转速的增大呈增大趋势,但转速的变化对气膜的形变和压力分布影响较小;从加工制造和高稳低漏性能方面综合考虑,选取槽数数量为12~16,槽深为4.5~6.5μm时,压力梯度引起动压效应明显,可获得良好的干气密封性能。
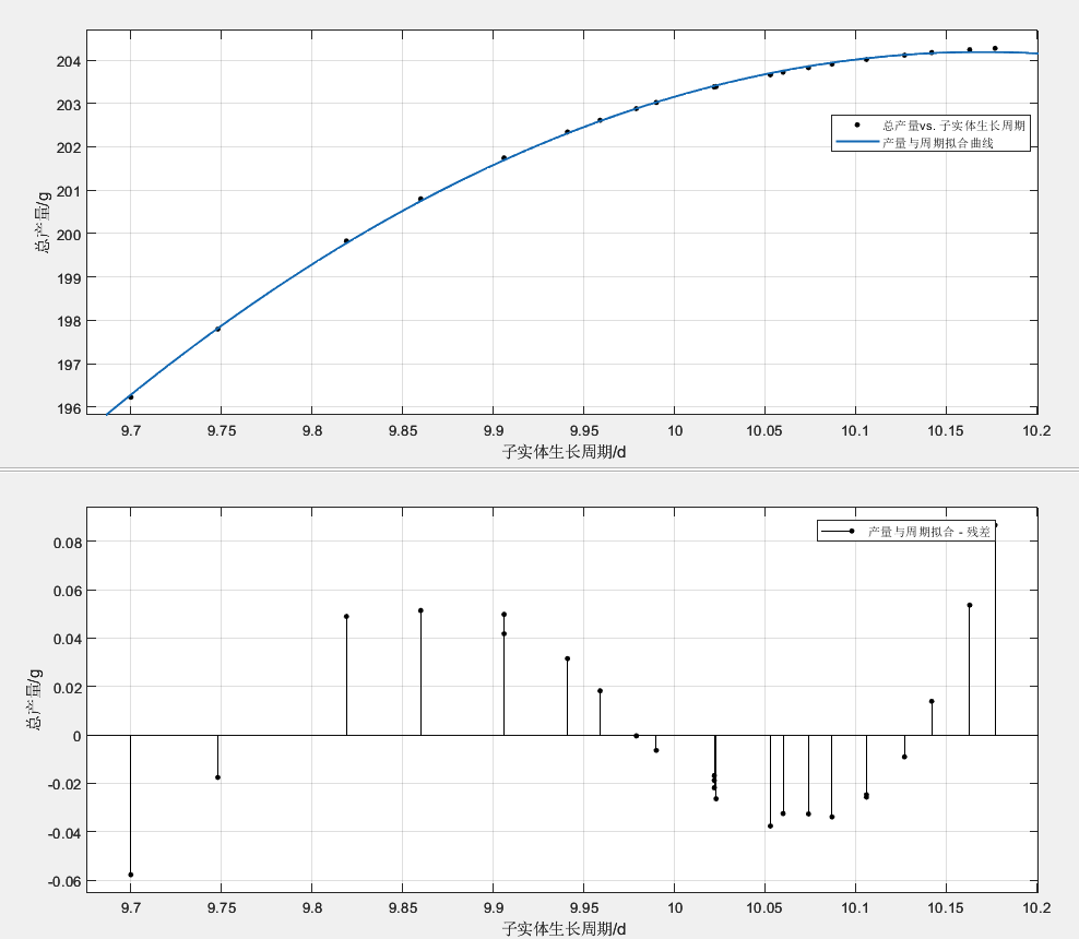
杏鲍菇菌糠栽培秀珍菇的呼吸控制实验设计
随着科研的深入和消费者需求的升级,菌糠等农业废弃物、环境污染和利用率低问题日益凸显。为了有效解决这一问题,对杏鲍菇菌糠循环栽培秀珍菇的呼吸控制展开深入研究。开展了培养基配方优化实验,通过替换原有栽培主料,当菌糠在培养基中占比达到50%时,秀珍菇的产量达到最高,为菌糠的高效利用提供了有力支撑。开展温度、湿度、光照强度等环境因子的单因素及正交实验,提出最适合环境因子调节律。相较于原先生产,在生长周期上缩短 13.9%,每一袋总产量增加40.1%。每袋培养基装料1150±50g,平均能产出203g秀珍菇。实现菌糠再利用、提升秀珍菇产量、缩短生长周期,促进产业绿色发展。
龙驰网格软件中旋转机械结构网格优化算法
摘 要:针对目前国内外学者对多块结构网格质量优化算法研究较少,大量优化算法还停留在理论研究阶段,缺少将优化算法与实际工程应用相结合的现状,本文提出了一种针对旋转机械多块结构网格质量优化的光顺算法:采用椭圆型偏微分控制方程优化单个网格面的内部网格节点;采用拉普拉斯控制方程优化内部网格边的内部网格节点;采用加权的拉普拉斯优化方法优化内部端点;优化周期边界网格节点;优化入口/出口边界网格节点;迭代执行以上步骤优化旋转机械多块结构网格直至收敛或达到指定优化步数可以获得最佳网格质量。采用该算法对Rotor37模型及多级压气机模型生成的多块结构网格进行质量优化,并将优化结果同Pointwise中Solve的优化结果进行对比,最小角、最大纵横比、负体积单元数等网格质量评价指标明显优于Pointwise中Solve的优化结果,对于实现旋转机械多种叶片构型的高质量网格生成具有重要作用。
超声辅助加工装置的设计与研制
近些年,随着航空航天领域对飞行器更高速度更高过载的要求,使得对飞行器相关结构件的加工精度也有着更高的要求。而超声振动辅助加工是一种能够明显提升加工质量的加工工艺,本文基于表观弹性法和ANASYS workbench的模态仿真,研制了一款超声辅助加工装置。首先根据加工需求设计装置的基本结构,再依据振动耦合频率方程进行结构尺寸计算,然后通过ANSYS Workbench对装置模型进行模态分析和瞬态动力学分析以验证装置的可靠性,最后使用阻抗分析仪和3D多普勒激光测振仪进行振动特性分析,验证了装置振动的均匀与仿真结果一致。
再生砼无腹筋梁剪切强度尺寸效应试验及仿真
摘要:再生混凝土是低碳混凝土的一种重要形式,显式有限元方法是开展混凝土结构静力分析的一种经济且可行的方法,常见的混凝土梁的剪切强度(一个重要的静力性能指标)具有尺寸效应。进行了剪跨比恒定条件下的一组再生混凝土无腹筋梁抗剪强度尺寸效应的物理试验研究,研究结果表明试验梁的抗剪强度大体上存在着随梁截面高度增大而减小的规律,继而得出了能体现此效应的抗剪强度回归公式。简要论证了显式有限元方法在求解混凝土结构极限荷载(其能导出抗剪强度)时的合理可行性,继而对试验梁开展了显式有限元仿真。研究结果表明:再生混凝土无腹筋梁剪切强度存在明显的且具有唯象规律性的尺寸效应,显式有限元方法能较好地仿真此效应。本研究将在一定程度上推动再生混凝土结构研究,推广经济的显式有限元方法在混凝土结构静力分析的应用。 关键词:结构工程;静力分析;试验;显式有限元;再生混凝土梁;剪切强度;尺寸效应
横向交变载荷作用下精密螺钉预紧力 仿真分析
摘要:为研究螺钉连接自松弛机理,基于螺纹轮廓线构建螺钉有限元模型并将其导入Abaqus中,进行螺钉横向振动瞬态分析;研究初始预紧力和振动幅值对螺钉自松弛影响。研究结果表明:在相同幅值下,预紧力越大,螺钉越不容易发生自松弛,横向交变载荷越大,螺钉预紧力损失越大。根据仿真结果,使用螺钉自动化装配系统进行螺钉锁付,本文采用带负载和不带负载两种方式进行螺钉振动试验,振动结果显示螺钉拧紧力矩能够满足装配要求。 关键字:预紧力,自松弛,应力,螺装系统,振动试验
面向设计重用的复杂异构仿真模型装配方法
为了实现提高多源异构复杂装配体仿真模型重用效率,提出了一种针对复杂多源异构模型几何变量修改后动态模型装配方法。首先,构建多源异构仿真模型装配拓扑关系,基于模型设计需求与工程约束,对几何形状修改后的仿真部件,计算出相应的装配空间变换矩阵,实现分级装配,生成几何形状修改后的多源异构复杂装配体仿真模型。最后基于碰撞假人模型的约束变体案例的装配结果验证及仿真验证表明,本文方法可有效实现混合单元多源异构复杂装配体仿真模型形状修改后装配模型的生成。
路面激励引起的车内噪声分析与研究
本文研究路面不平度激励引起的车内噪声问题。基于整车路噪分析理论和数字道路频谱激励计算方法,建立了包含声腔、CD tire轮胎的整车有限元模型和各轮胎位移PSD功率谱,采用随机响应分析法计算了整车噪声响应;通过传递路径分析(TPA)和节点贡献分析(GPA)等方法,对路噪响应进行优化分析,仿真结果显示,优化方案显著降低了车内噪声。并通过对比仿真与实测结果,验证了该方法和分析模型的可靠性,为路噪研究提供可行性参考。
基于深度学习的针织花样色码生成优化方法研究
摘要:为了降低针织物花型组织图案设计与研发的成本,缩短试样周期,满足当下快时尚的需求。本文提出一种基于Kaspar算法改进的InverseKnit++算法,实现了针织面料到花样色码的自动化设计。通过对RefinerNet细化预处理网络进行多级特征融合,提升对复杂纹理的识别能力;联合Img2Prog网络与PANet(Path Aggregation Network)实现多层次信息复用,并采用SPD(space to depth)卷积代替跨行卷积;在残差结构中引入注意力机制等改进措施提升低频色码生成精度,有效改善了原有算法中出现的色码丢失和准确性不足等问题。并在测试集上对改进算法进行定量评估与定性分析,实验结果表明,与Kaspar算法相比,改进后的InverseKnit++算法在整体准确率上提升到95%,前景准确率达到83.17%,验证了该算法在针织图像的花样色码生成中具有良好的效果。 关键词:花样色码;多级特征融合;SPD卷积;注意力机制;前景准确率
某风洞阵风发生器运动仿真计算与分析
为模拟飞行器在大气飞行中遇到的紊流影响,需要在风洞中建设一套阵风模拟装置,模拟装置布置于风洞来流上游,采用摇臂凸轮的结构驱动翼形叶片按照特定规律运动,扰动来流来实现对阵风的模拟。为保证结构能够实现模拟阵风的作用,确保结构设计和选型的可靠性和安全性,需要对整个驱动结构进行运动仿真,特别需要准确计算电机输出的能量及扭矩随时间变化,为电机合理选型提供参考,同时需要准确预测关键传动位置的载荷情况,真正指导结构设计,提高设计能力。仿真结果表明阵风发生器运动轨迹接近正弦曲线,通最终的试验结果表明,结构安全可靠,电机参数选择合理,阵风模拟效果满足试验要求。
全组织腰椎有限元模型构建技术研究
摘要:本研究目的是开发一种包含软硬组织的全组织的腰椎有限元模型,该模型可用于分析人体腰椎在正常体位和屈居活动模式下的腰椎生物力学特征。研究首先利用一名成年男性的脊柱断层扫描(CT)影像数据重构出腰椎的骨性组织,依据解剖结构构建椎间组织模型包括,椎间盘,小关节,和椎间韧带,进而对腰椎模型进行网格划分,骨组织分为密质骨和松质骨以及上下终板,椎间组织包括椎间盘、髓核、纤维环。对腰椎施加人体上身重量以仿真人体在正常姿势和腰椎前曲,后伸,左右侧屈时候腰椎生物力学特征。研究结果显示,不同的椎间活动模式没有显著改变椎间盘最大应力出现的区域,最大应力都出现在腰椎间盘的前端部,正常姿态的椎间盘最大应力值低于其他活动模式的相应的最大应力值。本研究发现全组织腰椎有限元模型有效模仿真实解剖形态,可以细致展示椎骨,腰椎间盘,和小关节的生物力学特征,对临床分析腰椎生物力学异常提供工程基础。 关键词:有限元分析; 腰椎; 椎间盘;脊柱生物力学;全组织;
汽车稳定杆连杆的疲劳仿真分析
对汽车稳定杆连杆进行疲劳仿真分析。基于等效结构应力法与临界距离理论对连杆中的焊接部位仿真求解;采用Mooney-Rivlin模型建立衬套中橡胶材料的本构关系。对球壳端,仿真复现试验,结果在二倍误差以内;对套管端,对比分析并对照试验,确定建模方式。将上述分析方法应用于稳定杆连杆产品的疲劳耐久性能预测,验证方法的有效性。
预折叠薄壁吸能盒优化设计
摘要:吸能盒作为汽车安全结构的关键部分,其性能的提升对于增强车辆碰撞时的保护效果至关重要。首先,引入新型折纸图案对传统吸能盒结构进行设计,利用Soildworks软件建立不同几何参数的预折叠薄壁吸能盒模型(Collapsible Origami Crash Box,COB),运用Abaqus软件进行准静态压缩仿真。仿真结果显示,同等质量下,预折叠薄壁吸能盒可以触发完全菱形折叠,相比于传统方形管和平行四边形管,能量吸收比最大提升超过30%,初始峰值力最大降低超过40%,直接验证了COB结构性能优越性。最后,本文采用基于极限学习机模型的粒子群优化算法,COB结构进行优化设计,与优化前的COB构型相比,在初始峰值力增长17.5%的条件下,平均破碎力增长15.1%,能量吸收比增长12.8%,质量降低33.9%,载荷均匀度基本保持不变。证明了粒子群-极限学习机优化策略的可靠性。 关键词:折纸图案;能量吸收;崩溃模式;粒子群极限学习机优化算法
基于ABAQUS的自涂层金属刀具切削数值模拟
摘 要:本文聚焦于切削加工中的绿色制造技术,特别是刀具表面软涂层技术的应用与影响。以YT15车刀为基体,通过ABAQUS有限元仿真软件,深入研究了无涂层与WS2涂层刀具在切削45淬火钢过程中的性能差异。仿真结果揭示了WS2涂层在降低切削力、切削温度的显著效果。具体而言,涂覆WS2的刀具在切削过程中,切削温度相比无涂层刀具降低了16%至30%,切削力则降低了约8%至20%。这一发现不仅验证了WS2涂层在提升切削效率、延长刀具寿命方面的潜力,还展示了有限元仿真在绿色制造技术研发中的高效性与经济性,为未来刀具涂层技术的优化与应用提供了重要的参考依据。 关键词:ABAQUS,涂层刀具,切削力,切削速度
基于OpenGL的针织面料渲染方法研究
摘要:针织面料因其复杂的结构和材质,给三维仿真渲染带来了巨大挑战。为了实现针织面料的真实感渲染,本研究提出了一种基于OpenGL的针织面料渲染方法。方法首先使用TNB框架和Catmull-Rom样条曲线完成针织面料的建模,然后通过空间加速结构和视锥剔除算法,减少送入GPU的顶点数量,有效避免了对不可见区域的计算。最后在延迟着色的基础上融合立方体阴影和环境光遮罩等渲染增强技术,最终实现针织面料的视觉高保真渲染效果。实验结果表明,本方法渲染的三维针织面料模型具有良好的渲染效果和真实感,为针织面料的三维仿真渲染提供了有效的参考解决方案。 关键词:针织面料, 高保真渲染, OpenGL, 空间加速结构, 视锥剔除, 延迟着色, 环境光遮罩
固溶处理温度对FGH96 IFW接头残余应力的影响
摘要:针对航空发动机转子中常用的FGH96合金,进行惯性摩擦焊(IFW),并对焊后接头进行固溶和时效处理,观察了接头形貌,利用轮廓法对接头残余应力进行测试,获得焊态接头内部残余应力分布特征,并研究固溶处理温度对残余应力的影响。结果表明:接头焊接区宽度中心窄两边宽,随着固溶处理温度的增加,焊接线变得越来越模糊,且晶粒发生明显长大;焊缝中心位置环向应力峰值达到1076MPa,然后沿轴线方向迅速降为压应力,内表面环向应力大于外表面;热处理后整个试件的内部拉伸环向应力显著降低,为-250~250MPa,但环向残余应力的不对称分布趋势与热处理前一致。 关键词:FGH96高温合金,惯性摩擦焊,固溶处理温度,接头宏观形貌,残余应力 中图分类号:TG453,文献标识码:A
碰撞假人有限元模型参数化约束变体方法
摘要:为了实现碰撞假人有限元模型的参数化,提出了一种由参数化骨架—横截面多级变体模板驱动的基于径向基函数的约束变体方法。首先,对碰撞假人有限元模型进行模型理解,设定参数以及明确约束关系;然后将有限元模型的几何信息转换为几何代理模型;接下来根据设定的参数与约束关系进行骨架和横截面模板的提取,并对模板进行参数化处理;最后结合参数化骨架—横截面模板与几何代理模型进行基于径向基函数的约束变体,通过约束变体后处理的尺寸校准,得到变体后几何代理模型,并将其转换回有限元模型,从而完成碰撞假人有限元模型的参数化。实验证明,该方法能够实现碰撞假人有限元模型的参数化并确保约束变体后模型的尺寸准确性。 关键词:约束变体 参数化 尺寸校准 碰撞假人
压力和刚度共同约束的连续体结构拓扑优化研究
摘要:许多结构在使用过程中往往会因为承受过大压力发生失效或破坏。为了提高其抗压性能以延长其使用寿命,可以通过选择合适的材料、优化结构设计、使用增强材料等方法。本文选择了考虑加强抗压性能的结构拓扑优化设计,在传统的刚度约束即仅应变能密度驱动的结构拓扑优化基础上增加了压力驱动。在结合混合元胞自动机的基础上,通过LS-DYNA有限元软件与MATLAB的耦合,本文开发一种压力和刚度共同约束的结构拓扑优化方法,它能在满足刚度基础上,提高结构的抗压能力。 关键字:拓扑优化,抗压性能,混合元胞自动机,应变能密度,压力 中图分类号:O344.4
某乘用车上救援拖车工况仿真方法研究
【摘要】为解决某乘用车上救援拖车工况结构开裂的问题,本文对上拖车盘整个过程进行工况解析,推导典型工况的结构受力情况并提取出关键载荷。采用显式瞬态仿真分析方法对典型工况进行仿真模拟研究,仿真结果显示结构失效状态与实际完全吻合,说明该仿真方法的有效性。依据该方法对失效结构进行优化,优化方案经实车上救援拖车工况验证,方案有效。对该方法基于HYPERMESH二次开发定制TCL自动化脚本,实现仿真文件自动化生成,建模效率提升90%以上。本文的方法可作为乘用车车身结构性能开发的有效工具。 【关键词】拖车,仿真,失效,开裂,自动化 中图分类号:U462.3 文献标识码:A
复合编织子母弹燃气囊拉伸破坏行为研究
囊式抛撒技术被广泛的应用于航空航天的子母弹药抛撒系统,燃气囊是抛撒系统的关键组成部分,系统的设计必须围绕着燃气囊展开。针对燃气囊的轴向拉伸性能研究,首先利用TexGen建立了平纹编织物的编织方式下的燃气囊细观单胞模型,运用ABAQUS软件进行轴向拉伸仿真模拟,对比实验和仿真载荷位移曲线结果吻合良好,验证了细观模型可靠性;其次,分析了平纹、斜纹、缎纹三种芳纶编织物的编织方式对燃气囊的拉伸性能的影响,结果表明缎纹织物性能最优,斜纹织物次之,平纹织物拉伸性能最差,且不同的编织方式对基体影响较小。
电动滑板车悬架衬套优化设计仿真
悬架是电动滑板车重要减振部件,设计悬架使用橡胶衬套作为悬架弹性元件;为保证该悬架承载和减震性能,定义预载力、轮轴中心位移、整件刚度三个设计目标。首先通过仿真试验对比,验证了橡胶衬套仿真方法的有效性,确认可使用连续工况非线性大变形仿真方法;然后开展了原始设计方案仿真,原始设计方案不能满足设计目标要求;经分析原始方案特点、设计约束定义及可能存在的优化方向,主要在橡胶材料参数和几何结构设计等方向上进行了多次设计优化和仿真,并最终获得满足设计目标的优化结果。样件试验数据验证了仿真及优化设计的有效性
某车型D柱腔体结构轻量化设计方法研究
【摘要】为实现车身结构轻量化设计,本文提出了一种区域结构轻量化设计方法。以某车型D柱区域腔体部分结构为优化设计目标区域,建立参数化模型,进行截面尺寸优化、零件拓扑优化、零件对接位置和料厚优化,设计出满足车身性能要求的轻量化车身结构。优化设计后的D柱腔体结构降重比例达11%,扭转刚度基本不变,相关模态、强度和安全性能均满足设计要求。 【关键词】参数化,轻量化,尺寸优化,拓扑优化,料厚优化
基于UM-ANYSY-MATLAB联合仿真的60N新性能钢轨磨耗规律研究
有效控制小半径曲线钢轨磨耗是重载铁路亟待解决的问题之一,钢轨材质性能提升相关研究从未间断。针对最新研发的60N新性能钢轨,采用UM-ANYSY-MATLAB联合仿真技术建立钢轨磨耗预测模型,仿真分析运营参数和轨道结构参数综合影响下60N新性能钢轨廓形磨耗规律,并与U75V钢轨进行对比,据此提出最优轨道参数建议值。仿真结果表明:轨底坡设置为1:20,轨距加宽2mm,欠超高约15%时,采用60N新性能钢轨可延长重载铁路小半径曲线钢轨使用寿命约50%。
基于DEM-MBD耦合的花生播种单体工作过程仿真与试验研究
摘要:本文设计了一台双镇压辊结构花生播种单体,并采用基于DEM-MBD耦合的方法建立了机具作业过程的仿真动力学模型。通过参数化建模、选用合理的力学模型、获取仿真所需参数和设置仿真参数等一系列操作完成了耦合模型的建立。仿真结果表明,播种仿真实验得到速度越慢,起垄质量越高;进行播种均匀性分析得到各穴距基本保持一致;进行覆土和镇压分析得到播种单体工作速度增大,横向和纵向的位置变化呈现逐渐变大趋势。通过对比仿真结果与田间试验结果,验证了仿真试验的有效性。研究表明,基于DEM-MBD耦合的方法为花生播种单体作业性能评价和机具设计提供了一种新研究方法。 关键词:花生播种,离散元,多体动力学,耦合仿真
基于3D视觉引导的码垛控制系统设计
传统生产模式下,由于定位传感器的限制,工业机器人只能对同一规格尺寸、固定位置的箱体进行搬运码垛,智能化程度较低且无法满足现代物流行业多品种、少批量的堆叠箱体搬运码垛需求。因此,本文针对物流行业不同尺寸、位置不定堆叠箱体的识别分拣码垛问题,设计了一种结合视觉引导、人机交互界面的柔性码垛控制系统。通过搭建现场实验平台和实验设计,验证了结合人机交互界面、视觉引导的柔性码垛控制系统在现场实行的可行性。
纯电车型地板异响问题的分析研究
摘要:异响是一个比较敏感的问题,是顾客最不希望听到的声音,直接影响汽车的品质和竞争力;地板作为汽车内部最主要的承载结构,是乘客重要的活动空间;地板的性能直接影响汽车的品质,影响乘客驾乘体验;文章针对某车型出现的踩踏异响问题,分析造成踩踏异响的原因,采用CAE手段对地板的局部结构进行优化,针对合理的方案,开展实车验证,解决了地板踩踏异响问题,并总结地板踩踏异响的影响因素,制定相应的规避策略,避免出现类似的异响问题。 关键词:地板;异响;踩踏;优化;CAE;规避策略
基于响应曲面法的风电断齿电弧熔覆工艺参数优化
表面质量和表面精度的提高对于电弧熔覆至关重要,本文重点介绍了电弧熔覆过程中主要工艺参数的多目标优化过程。使用响应面法实验设计方法设计了焊接实验矩阵。输入过程参数在3个水平上变化,得出17组实验,在进行实验之后测试响应,建立二阶响应曲面模型,进行多目标优化,得到所需合适的残余应力值。结果表明:经回归模型预测其优化后的焊接工艺参数为焊接电压20.3V,送丝速度5.1m/min,填充速度14.1mm/s,模型预测的焊道残余应力和热影响区残余应力与实际试验所测误差分别为4.16%和1.25%;同时对其多层多道熔覆层样件进行力学性能测试,发现其力学性能均优于原风电齿轮的力学性能。
核级弹簧式安全阀质量流量和阀瓣升力的影响因素研究
摘要:在核电机组二回路的高压蒸汽管道上装有安全阀。该安全阀的作用是:当管路内蒸汽压力超过安全阀的整定压力时,对管路起到保护作用,安全阀的阀瓣升力和质量流量影响着安全阀保护的可靠性,阀瓣升力是影响安全阀开启时间的重要因素,质量流量是影响安全阀泄压能力的重要因素。本文通过建立某型核级弹簧式安全阀流体域仿真模型,并进行试验验证,进而探究了阀瓣升力和出口质量流量的影响因素,通过改变阀瓣结构,得出在一定的阀瓣锥角角度范围内,随着阀瓣锥角角度的增大,阀瓣升力和出口质量流量也会增大,从而缩短了此安全阀的开启时间和提高了此安全阀的泄压能力。 关键词:核级弹簧式安全阀;计算流体力学;阀瓣升力;质量流量
零泊松比超结构蜂窝舵面优化设计
随着飞行器马赫数和射程大幅提升,气动载荷和气动热也随之变大,由此带来的导弹结构强度、刚度、防隔热要求和轻量化要求之间的矛盾越发尖锐。零泊松比结构蜂窝作为一种新的先进结构材料,具有更加稳定的变形特性和更优的力学性能。本文以零泊松比超结构为研究对象,开展了基于零泊松比超结构蜂窝舵面热力耦合性能仿真研究,同时应用正交法进行优化设计蜂窝参数。结果表明,与传统的骨架蒙皮和六角蜂窝舵面相比,零泊松比超结构蜂窝舵面具有更轻的重量和更小的变形量,同时可以避免鼓包等屈曲变形
微模块数据中心抗震性能仿真分析与研究
摘要:随着信息技术的快速发展,微模块数据中心作为新型的数据处理和存储设施得到广泛应用。然而,其在地震作用下的安全性至关重要。本文选取一种典型的微模块数据中心结构,精细化建立有限元模型,对其进行8烈度地震工况模拟仿真。研究了地震载荷、结构参数及设备布置等因素的影响。通过对比分析结构的模态频率、振型、位移响应和应力分布,揭示了微模块数据中心在地震作用下的力学行为和薄弱环节。研究结果为微模块数据中心的抗震设计和安全评估提供了重要的理论依据和技术支持。 关键词:数据中心 微模块 仿真 抗震性能
双液滴连续撞击超疏水壁面动力学行为研究
研究双液滴撞击固体表面的动力学过程及作用机制,对工业技术的应用和发展具有重要价值。通过建立二维轴对称模型模拟不同撞击速度和中心距条件下连续双液滴撞击超疏水壁面,以无量纲参数ξ作为铺展因子,对液滴的变形程度进行表征。通过改变液滴中心距及撞击速度,研究底部液滴动力学行为对融合后大液滴动力学行为变化的影响。研究发现:双液滴发生碰撞融合时底部液滴靠近收缩前期,融合后大液滴底部收缩到一定程度后会再次铺展;靠近回弹阶段发生碰撞融合,大液滴底部依旧会发生反弹。双液滴中心距与撞击速度的比值大,表明双液滴发生碰撞所需时间长,开始融合时底部液滴处于基本处于回弹阶段,合并后大液滴底部会出现反弹的情况;比值小,双液滴发生碰撞所需时间短,开始融合时底部液滴处于收缩阶段,液滴未完全脱离壁面就会再次发生铺展。固液接触面间的气体会促进液滴脱离壁面。
二维T字形微流道拓扑优化研究
拓扑优化方法在微流体领域的应用是当前一个备受关注的研究方向。这一方法不仅有助于提升微流体系统的性能,还能够解决实际工程中的诸多挑战。本文研究了T字形微流道,设计域以假定密度表示材料分布,采用达西插值法得出控制方程,并以最小能耗比为目标函数,结合SNOPT算法进行优化,从而提升流道的流通性。与初始流道相比,验证了该方法的可行性。研究结果表明,亥姆霍兹过滤和双曲正切函数投影在拓扑优化中能提高优化的效率和质量,且随着入口速度的增加,流道拓扑优化结构的交汇位置愈发趋向于入口处。
基于单体电芯标定的电池包挤压仿真与试验研究
本文通过选取某一型号的圆柱电芯,构建了各向异性材料本构的有限元模型,并进行径向和轴向平板挤压的仿真与试验对标,验证单体电芯模型的准确性。进一步地,以某电动自行车电池包作为研究对象,按照测试标准进行了整包的挤压仿真和试验,通过仿真结果与试验数据的对比,进一步验证了模型的可靠性。研究发现,仿真与试验结果在挤压力-位移曲线和变形后的外部轮廓上具有较高的一致性,表明所开发的电芯本构模型能够有效模拟电池包在挤压后的变形响应。本文的研究成果可为锂电池在机械滥用条件下的结构优化提供重要的技术支持,对于电池可靠性分析具有重要的指导意义。
应用可变阶谱单元法对非共形装配体进行结构强度分析
本文提出了一种新颖的数值方法,用于模拟装配体内部可变形固体的相互接触作用。传统方法通常采用压印和合并公共边界区域的技术来处理此类问题,但这种方法要求对整个装配体进行共形化网格离散,以确保公共边界区域的一致性。然而,当装配体由大量不同尺寸的零部件组成时,共形化网格的划分便成为了一项极具挑战性的任务。本文通过一系列测试案例,对比共形网格计算结果,验证了CAE Fidesys软件采用非共形网格计算的高可靠性。本研究特别针对由长方体、圆柱体和球体构成的装配体,进行了静力和模态分析。研究结果表明,即使装配体模型中存在微小间隙或重叠,这些情况对数值计算结果的正确性影响微乎其微。CAE Fidesys软件能够自动处理这些情况,无需人工干预,从而显著提高了计算效率和准确性。
基于人工神经网络指导短纤维增强复合材料设计
本文提出了一种基于人工神经网络指导短纤维增强复合材料(SFRCs)的方法。该方法分为两步,首先结合取向平均法和自洽假设建立数学模型,计算出不同体积分数下SFRCs的弹性性能;然后建立两个不同的人工神经网络,将数学模型计算得到的数据集投入训练。由此可以快速地由SFRCs的体积分数预测出其弹性性能;也可以由已知的SFRCs的弹性性能反推导出其纤维的体积分数。本文提出的方法对于复合材料实验的设定有一定的参考意义,与传统方法比可以有效减少重复实验次数,降低成本与周期。
基于Inspire的人体假肢零件结构优化
摘要:假肢是残疾人士正常生活的重要保障,假肢质量越轻,使用起来会越省力。为更加合理高效的对人体假肢装配体中的零件进行轻量化设计,本文作者使用Inspire对人体假肢膝关节的装配体进行了网格划分、运动边界条件的设定、初始强度的有限元分析。根据分析所得结果,以最大化刚度、质量优化40%为目标,对其重要零件进行了结构优化与强度校核。优化所得零件质量为原零件的37%,最大米塞斯等效应力有所提高但任满足设计要求。结果表明:Inspire可提取运动学分析结果进行强度分析,并能快速的对目标零件进行结构的优化与重构,获得力学性能较好、高度轻量化的模型。 关键词:Inspire;强度校核;有限元分析;结构优化
乘用车转向拉杆屈曲仿真分析方法研究
摘 要:本文全面分析了乘用车转向拉杆的功能及受载形式,介绍了屈曲分析的基本原理与仿真分析方法,论述了进行屈曲仿真分析时两种引入初始缺陷的局限性,确定了适用于转向拉杆的屈曲仿真分析方法,并通过试验验证了该方法的有效性及精准度,对预测转向拉杆的屈曲形态及屈曲临界载荷具有较强的指导意义。 关键词:转向拉杆;屈曲;后屈曲;失稳
基于效率提升的振动试验夹具设计方法与仿真分析应用
面对科研新品快速响应制约,对现有振动试验、工装夹具设计周期和可靠性等方面提出了更高要求,因此有必要开展产品设计与工装设计的并行工程,通过夹具模块化设计技术,多工位多轴向装夹技术以及零点快换技术的研究应用,提高夹具设计效率和质量,缩短新品研制周期;通过仿真分析技术应用,提升振动夹具设计可靠性,最终达到优化机械环境试验运行效率的目标。
高原矿用自卸车落物及翻车保护系统仿真及优化研究
摘要:本文以某高原矿用自卸车为研究对象,利用有限元分析软件ANSYS Workbench、动力学软件Adams建立自卸车车架、驾驶室的仿真分析模型,并对实体中的焊缝建立仿真分析模型,依据国家对FOPS/ROPS的试验和性能要求标准中的规定,对矿用自卸车驾驶室FOPS/ROPS结构进行仿真分析计算,并提出驾驶室FOPS/ROPS的优化方案。 关键词:高原矿用自卸车;FOPS/ROPS;仿真分析;优化
基于CONWEP方法的无人机投弹毁伤仿真分析
摘 要:为研究无人机投弹对边境防御工事的毁伤效果,基于爆炸冲击经验模型理论,建立碉堡防御工事有限元模型,对无人机装载的炸药毁伤碉堡防御工事进行动力学仿真模拟,并基于表面积毁伤比理论判断其毁伤效果。有限元仿真结果表明,无人机投掷炸药爆炸距离和爆炸位置不同,对碉堡防御工事的毁伤效果有明显区分度,应根据任务需要选择弹药投放位置,论文研究可以为无人机参与相关作战提供依据。 关键词 :无人机;投弹;爆炸;毁伤评估;有限元 中图分类号:O38 文献识别码:A
某武器投放单元振动夹具拓扑优化设计
某武器投放单元尺寸大、重量大。为顺利进行振动试验,对振动夹具的质量和模态均有指标要求。按照传统方法设计的振动夹具无法满足指标要求。本文采用模态分析与拓扑优化相结合的方法,以提高振动夹具结构的一阶固有频率为目标,对其进行轻量化设计,去除了多余材料并加强结构的薄弱部分。结果表明,振动夹具的一阶固有频率提高了一半为256Hz,重量小于1t,满足振动指标要求。
空调压缩机支架NVH性能分析与优化
摘 要:本文针对前期设计阶段,在发动机怠速、压缩机升速时,车内存在噪声进行了研究。对比压缩机与支架分离前后的振动、噪音测试结果,分析噪声源是压缩机支架。在压缩机升速过程中,测得主驾外耳声压级与压缩机转速、阶次之间的频谱图。根据频谱图,发现在271HZ附近存在共振带。同时,采用锤击法测得支架的一阶固有频率为274HZ。证明,压缩机支架作为传递路径,将振动激励放大。压缩机升速过程中与支架发生共振,导致将振动传递车内,最终振动辐射噪声传至人耳。对支架的安装孔、加强筋更改,提出优化方案。采用仿真手段,计算得到优化的压缩机支架一阶固有频率提升至370HZ。最后,将新方案手板件装车,验证整车NVH性能。测试结果表明,噪声性能获得明显提升。 关键词: 压缩机支架;NVH;优化设计
车用电池箱的多工况仿真分析及优化设计
摘要:车用电池箱的轻量化设计是提高新能源续航能力的重要研究方向,本文结合车辆实际运行工况,对电池箱进行静强度分析与模态分析,针对仿真结果得出电池箱的主要结构优化方向;设计以轻量化为目标,以一阶模态和箱体多工况下最大应力应变小于初始设计为约束的形貌、尺寸优化方案,最终确定电池箱上盖板的加强筋形式与厚度,同时对下箱体进行碳纤维复合材料的多目标优化设计。优化后的电池箱总质量减轻27.27kg,达到了预期的轻量化目标。 关键词:车用电池箱、轻量化、模态分析
面向网格生成的虚拟拓扑方法研究
摘要:合适的几何处理直接决定的网格的质量,影响仿真分析的准确性和可靠性。本文总结了主流几何处理方法的优缺点,选取优点明显的虚拟拓扑几何处理方法,介绍虚拟拓扑操作的原理,研究不同虚拟拓扑操作以及其应用场景,解决影响模型网格质量的关键问题,在不改变模型几何的情况下处理模型,提高网格质量。 关键词:虚拟拓扑;仿真分析;几何处理;网格质量
发动机罩内板材料对行人头部保护性能的影响研究
摘要 为研究发动机罩内板材料对行人头部保护性能的影响,以某SUV车型的发动机罩作为研究对象,首先通过行人头部碰撞试验对行人头部碰撞仿真模型进行校准,将校准后的仿真模型作为基础,采用不同内板材料的发动机罩进行行人头部碰撞仿真分析,得到不同内板材料下的加速度-时间曲线以及HIC15值,进而得到内板材料本构模型参数对行人保护性能的影响。 关键词 内板材料;行人头部保护;碰撞试验;碰撞仿真;HIC15值
基于改进超体积因子的多目标拓扑优化及车架轻量化设计
摘要:拓扑优化和多目标优化都是在实际工程应用中常用的优化方法,在航空航天,交通运输及军事装备等领域发挥重要作用。本文对多目标拓扑优化方法中超体积因子计算方法进行改进,通过引入反向辅助函数解决其目标函数在Pareto解集空间支配域内没有梯度信息,无法进行拓扑优化敏度分析的问题;再针对算法复杂的梯度路径下,有可能陷入局部最优解的问题,通过在优化策略中增加扩展域打分评价来寻找最有竞争力的Pareto解集。最终基于特种车辆底盘车架侧板的轻量化设计的工程实例结合本文所提出自编多目标拓扑优化代码进行优化分析,得到大量满足要求的Pareto解集及其相对应的拓扑构型。 关键词:多目标优化;拓扑优化;车架轻量化
基于ABAQUS的某底盘轮辋紧固螺栓断裂 分析及优化
采用宏观观察、微观分析、理论计算、基于ABAQUS的有限元仿真分析、试验论证的方法,对某底盘轮辋紧固螺栓断裂问题进行了分析,找出螺栓失效的原因并对断裂故障进行复现。分析表明:该螺栓拧紧力矩符合要求,但设计强度不足,在应力的反复作用下导致疲劳断裂失效。对该螺栓进行优化改进,局部加粗并提高螺栓的强度等级。对优化后的螺栓进行仿真分析及模拟试验,验证了优化措施的有效性,结果表明:优化措施可有效降低轮辋紧固螺栓的最大应力,可满足使用要求。
CAE软件云化应用现状与发展趋势分析
摘 要 随着CAE软件在各类工程设计中的广泛应用,用户对CAE软件的数据存储、计算能力、多用户协作和共享等方面提出更高要求。云计算的资源弹性和服务化思想能有效解决CAE软件应用瓶颈问题,当前学术界和商业化软件公司已将CAE软件与云技术融合作为软件未来发展的重点。本文以时间为脉络回顾了CAE软件云化应用的发展过程,并展望了其未来发展方向。 关键词 CAE软件;云计算;云化应用 中图分类号:TP391.9 文献标识码:A
面向CAE仿真的整车智能装配技术
本文提出了一种面向CAE仿真的整车装配连接方法,此方法即可以保证子系统的独立性,又能保证整车模型装配连接的完整性。基于此方法开发了一套智能的装配自动化系统,实现了子系统内螺栓连接和整车装配连接的自动化。相比于传统手动装配连接,运用智能装配技术,子系统内螺栓连接和整车装配连接效率分别提升了94%,缩短整车仿真装配时长31.5小时,为汽车CAE仿真周期的压缩提供了有效保证,消除了影响仿真效率提升的瓶颈。
电磁推射火箭噪声环境分析
摘要:采用电磁推射提高初始速度是提高运载火箭运载能力的一种手段,在隧道内建设电磁推射轨道进行电磁推射是一种实现方式。为探究隧道直径对噪声环境的影响,在分析噪声源特点的基础上,以整流罩、隧道为对象建立了统计能量噪声计算模型,计算了不同直径隧道下整流罩内噪声环境,对比发现隧道直径对箭体外部噪声源具有较大影响,在直径较小时采用隧道内壁敷设吸声材料的方式能够起到一定降噪作用。 关键词:电磁推射火箭;噪声环境;统计能量
一种新型抗鸟撞结构在飞机尾翼前缘中的 仿真与应用
摘要:本文针对一种新型抗鸟撞结构——A字型双斜板结构,研究其在实际飞机尾翼结构中的抗鸟撞效果。本文采用有限元分析软件PAM-CRASH进行数值仿真分析,对比了原始尾翼结构和包含A字型双斜板的尾翼结构抗鸟撞效果。仿真分析的结果表明:通过使用A字型双斜板替换原始尾翼中的抗鸟撞防撞板,可以在获得更好的抗鸟撞效果的同时减轻尾翼结构整体质量,为飞机尾翼结构抗鸟撞设计和轻量化设计提供一种新的途径。
高速电机转子碳纤维护套等应力缠绕工程化仿真方法研究
摘要:通过ANSYS APDL参数化语言,开发了高速永磁电机表贴式转子碳纤维护套张力缠绕高效仿真分析方法,可实现护套预应力直接施加,有效简化了仿真过程,显著提升了产品设计效率。同时,在参数化设计的基础上提出了衰减系数法,可用于等应力缠绕模式的转子护套结构工程化快速设计与计算校核,并将等应力与恒张力两种缠绕模式进行了对比分析,结果表明在相同护套整体材料强度利用率下,等应力缠绕可以实现更高的护套整体材料强度利用率和更显著的预紧作用。 关键词:有限元分析;高速永磁电机;碳纤维复合材料;张力缠绕;等应力
基于拓扑优化技术的结构应变测点最优布置研究
摘要:随着智慧运维的发展,基于数字孪生的数字化运维对仿真技术提出了更高的要求。本文提出了一种基于拓扑优化的结构应变测点布置方法。该方法通过拓扑优化技术确定传力路径,并量化不同测量方向的性能及各区域应变梯度的变化,有效减少测点筛选维度,同时避免应变梯度变化较大区域对测点筛选的影响。文中通过数值仿真和工程试验,比较基于D最优理论在结构全局筛选的应变测点与基于拓扑优化技术逐步筛选的应变测点在工程实测中的表现,结果表明基于拓扑优化技术的结构应变测点优化布置方法具有较高的可靠性,并且在实际工程中能够展现出良好的测量稳定性。 关键词:传感器布置;拓扑优化;载荷反演;传力路径
基于PERA SIM Fluid的汽车油箱加注过程仿真
本文基于安世亚太自主研发的PERA SIM Fluid流体仿真软件,对某款汽车油箱瞬态的加注过程进行了数值仿真,获得了油箱内的液位高度随时间的变化特性,验证了国产仿真软件PERA SIM Fluid在多相流仿真领域的适用性和可靠性。
2010-2011年新西兰系列地震下基督城建筑破坏情景模拟
摘 要:城市作为为区域政治、经济、文化的中心,有着很高人口与建筑密度。随着生产力的不断地发展和人们逐渐向城市聚集,大城市的虹吸效应越发显著,城市规模正不断扩大,使得城市愈发复杂,如何有效的对规模越来越大的城市进行模拟分析成为城市减灾研究的重要课题。2010-2011年新西兰地震是典型的发生在现代城市的破坏性地震,为研究城市建筑群的破坏提供了资料,本文通过一定的建筑信息的样本数据建立了基督城(Christchurch)全域的建筑群的数据库,以基督城2010年9月4日和2011年2月22日地震下的实测地震动作为输入,采用数值仿真方法对基督城建筑群的地震破坏进行模拟。模拟结果显示2011年2月22日Mw 6.2 级相比2010年9月4日的Mw 7.1级地震破坏更为严重,与实际震害情况相符。城市震后的建筑破坏情景模拟可以帮助我们了解城市在地震下相对脆弱的区域和受损情况,在此基础上可以延展更多的城市震害相关研究。 关键词:城市地震灾害仿真;新西兰基督城地震;结构类型;建筑结构震害; 中图分类号:P315.9 文献标识码:A
基于ABAQUS的自涂层金属刀具切削数值模拟
环境污染问题是当今世界三大问题之一,正在对人类社会的生存与发展造成严重的威胁。而切削加工中使用的切削液是宇航制造的污染源之一。为了符合绿色制造的要求,在切削加工中,可以在刀具上涂敷一层软涂层,它可以降低切削力,降低切削温度,减小切屑半径,提高卷屑效果,延长刀具使用寿命。而实际加工中研究涂层的作用是一个非常昂贵和耗时的工作。所以在本文中利用ABAQUS有限元仿真软件,仿真YT15车刀和以YT15为基体涂覆WS2涂层的刀具切削45淬火钢的切削过程。通过比较不同切削温度、不同切削力下工件切屑的和变化,发现涂覆WS2涂层的刀具在切削45淬火钢时切削温度降低了16%-30%,切削力降低了大约8%-20%。
基于产品BOM的企业仿真能力建设和评价方法
仿真技术在制造业产品研发设计过程中已经得到了广泛应用,逐渐成为产品研发创新的一种不可或缺的技术。采用仿真技术既可以减少产品研发时间,也可以有效降低产品研发成本。但由于产品仿真技术涉及到的学科繁多,对仿真人员的技术水平也有比较高的要求,企业如何建立匹配自身的仿真组织和能力,也变得相当重要。本文从产品、学科、人才、标准等方面,探讨一种切实有效的企业仿真能力建设方法。
SAM结构有限元求解器非线性隐式求解的工程实现
摘 要 本文主要介绍海洋结构分析通用软件SAM中有限元非线性隐式求解增量迭代法的设计与实现。文章提出同时适应于动力和静力问题的增量迭代方程和收敛判断准则,并基于自主CAE软件SAM设计实现隐式求解整体流程。并结合材料非线性经典实例与Abaqus比较,验证非线性迭代算法和SAM软件的求解精度。 关 键 词:非线性隐式求解;自主CAE软件;增量迭代方程;CAE
基于CFD的CF3I和CF3Br流动输运 特性对比研究
:CF3Br(Halon 1301)灭火剂因对大气臭氧层造成严重破坏从而被蒙特利尔议定书限制使用,CF3I与其化学组成相似且更为环保,是具有显著优势的“哈龙”替代灭火剂。首先以CF3Br为研究目标,对其流动-相变耦合过程进行数值建模,并通过实验检测数据验证数值模型的准确性,深入揭示CF3Br相变和各流动、释放变量的变化动态,之后利用计算流体力学(Computational Fluid Dynamics,CFD)方法研究CF3I的流动释放特性并与CF3Br进行对比, CF3I在管道内的流动输运过程与CF3Br类似,均遵循“三阶段”过程;在相同的初始条件下,CF3I相较于CF3Br有更好的降温效果,但其相变主要发生在管道末端喷嘴处,区别于CF3Br可在管道内发生剧烈相变。本文研究结果可为后续CF3I机载灭火系统设计提供基础理论数据。
基于Solid works车床上下料桁架结构设计的有限元分析
摘要:车床上下料早期是由工人进行操作的,工人长期暴露在高温高压高分贝的生产环境中对人体会造成一些不可逆的损伤,本设计的车床上下料系统可以加快工件运输时间,可以有效减低工人的事故率,降低劳动成本,工人操作简单可以有效地减少重复作业带来的危害。利用simulation对车床上下料桁架结构的主要零部件进行有限分析,桁架作为桁架机器人上下料系统的主要部件,影响着整个桁架系统的强度和刚度,影响整个上下料系统的稳定和准确度。 关键词 车床;桁架机械手;Solider works;有限元分析 中图分类号:TH128 文献标志码:A
高速车况下雨刮器气动浮力及其优化方案的数值模拟研究
高速车况下由于雨刮器受到气动浮力的影响,常出现雨刮刮刷不干净的问题。对此,本文以某电动车型为例,对其雨刮器进行了三种形式的优化,优化方案包括采用圆弧状刮臂、刮臂开孔、缩小刮臂尺寸。本文通过数值模拟计算了不同方案下的雨刮器气动浮力及其周围流场,研究了雨刮气动浮力的产生原因及影响其大小的因素,剖析了三种优化方案改善气动浮力的原理。数值模拟结果表明,三种优化方案的平均气动浮力相比原雨刮分别下降10.4%,13.3%,9.5%,因此验证了改善流场、缩小压差、减少表面积等气动浮力优化思路的合理性。
基于YOLOV8的喷涂上挂机器人目标检测方法研究
摘要:因现有家具喷涂生产线中工件的上挂效率低、喷涂质量不稳定。本文提出一种喷涂上挂设计方法,以高效完成工件的自动上挂和喷涂。挂钩和工件的目标检测方法研究方面,设计了一种基于 YOLOv8模型的目标检测方法,使用3160张图像构建数据集,在上位机进行模型训练,该模型可以完成目标检测的同时获取到挂钩的上挂点的位置信息和待喷涂收纳框的喷涂角点和抓取点。以FANUC M710iC/45M为控制对象,建立控制对象的运动学模型对其进行正、逆运动学求解以及工作空间分析。在关节空间中为了保证机器人运动的平稳性选用五次多项式速度曲线进行关节空间下的轨迹规划 关键词:喷涂生产线;机器视觉;YOLOV8
一种基于CS-LDG-RNN的滚动轴承 剩余寿命预测方法
摘 要:针对滚动轴承剩余寿命预测过程中数据处理、特征集构建、寿命预测等技术问题,提出一种基于CS-LDG-RNN的滚动轴承剩余寿命预测方法。该方法首先利用压缩感知对原始数据进行压缩与还原,完成训练集、验证集、测试集、补充测试集划分。其次,构建不同特征提取方案下的训练集特征集,然后通过逻辑回归和距离相关系数确定最终特征提取方案,并据此完成特征提取。接着,通过高斯Copula对训练集特征集进行数据增强。最后,利用循环神经网络训练得到滚动轴承剩余寿命预测模型。辛辛那提大学试验数据验证结果表明,该方法能实现滚动轴承剩余寿命的准确预测,具有一定的抗噪性,且表现出了良好的数据压缩还原效果,能实现特征集的有效提取和扩充。 关键词:剩余寿命预测;滚动轴承;压缩感知;逻辑回归;距离相关系数;高斯Copula;RNN 中图分类号:TH133.3,TP181 文献标识码:A 文章编号:
高压水射流冲蚀烧结钕铁硼损伤形态数值模拟研究
烧结钕铁硼磁体热稳定性差,且加工过程中易产生脆性破坏。高压水射流技术具有切削温度低、切削应力小等特点,在钕铁硼磁体加工方面具有独特优势。本文基于SPH-FEM耦合算法,构建了高压水射流冲蚀钕铁硼磁体的数值模型。数值计算结果表明:高压水射流冲蚀钕铁硼磁体损伤截面最终呈现近“U”形,且射流速度对磁体损伤形态影响较大。在相同工艺参数下开展物理实验,钕铁硼磁体损伤形态与数值计算结果基本符合。此外,射流速度为400m/s时,钕铁硼磁体平均损伤深度增加速率为0.5μm/s。射流速度为700m/s时,磁体平均损伤深度增加速率为0.04mm/s。本文构建的数值模型计算钕铁硼磁体损伤深度时平均误差为0.05mm,可为后续提高射流加工钕铁硼磁体质量提供数据支撑。
基于载荷反演技术的挖掘机工作装置 绞点力获取方法
摘要:获取工作装置动态载荷的方式主要是通过测得的动臂、斗杆及铲斗的油缸位移和压力通过公式推导得出或采用多体动力学方式提取得到,两种方法得到的工作装置绞点动态载荷,都无法考虑侧向载荷和工作过程中产生的侧向惯性加速度对工作装置受力的影响,本文提出一种基于载荷反演的绞点力获取方法,本方法可解决现有技术中工作装置载荷时间历程的获取无法考虑侧向载荷和工作过程中产生的侧向惯性加速度对工作装置受力的影响及理论假设计算精度低的技术问题, 提高了模型载荷获取精度,为工作装置疲劳寿命的准确预测提供有力的支撑。 关键词:挖掘机 绞点力 载荷反演 时间历程
基于PERA SIM Mechanical机床夹具热结构耦合分析
本文基于安世亚太自主研发的PERA SIM Mechanical结构仿真软件,对某机床夹具进行热分析及热结构耦合分析,获得机床夹具的稳态温度场以及热变形和热应力,用于指导和验证夹具的设计方案。证明了国产仿真软件PERA SIM Mechanical在热结构耦合分析的适用性和可靠性。
仿生鲤尾槽干气密封性能分析与设计研究
摘 要:本研究聚焦于鲤尾槽仿生干气密封的设计与性能分析,旨在为端面密封技术的优化提供理论依据。采用基于鲤鱼尾部结构的创新槽型,构建三维模型,并利用ICEM软件进行详尽的网格划分。通过Fluent软件进行仿真模拟,本研究重点探讨了不同槽型设计对密封性能的影响。研究结果表明,槽型的设计对干气密封的性能有显著影响:具体而言,外曲线型鲤尾槽在多变的工况条件下表现出更优的动压效应和较小的压降,证明其在高压及高速工况下的优势。 关键词:鲤鱼尾;干气密封;仿真模拟;密封性能 中图分类号:TH117.2 文献标识码:A
基于生成式人工智能的有限元单元计算子程生成系统
有限元代码编写需要具备较高的专业知识,开发工作量大。为了降低有限元求解代码的编写难度和工作量,本文提出一种基于生成式人工智能的有限元单元计算子程序生成系统。整个系统构建包括数据集生成、模型高效训练以及前后端。该系统涵盖了多个学科多种应用场景,可以将自然语言提问转化为描述偏微分弱形式的PDE文件,并支持快速生成高效的计算机高级语言。
基于模型的运载火箭设计应用方法研究
摘 要:针对我国星网建设、空间站建设、探火、探月、各类卫星星座组网等需求剧增的问题,为提升运载火箭的市场响应速度和设计质量,本文采用基于模型的系统工程方法论,结合运载火箭研制设计流程,给出了数字化的协同设计方法及详细建模过程与案例。基于火箭研制依据完成需求条目化的分解,通过系统架构建模,进一步识别系统需求,根据功能需要层层分解需求并采用可量化的参数描述条目化的需求。通过需求管理平台创建需求间的追溯矩阵,实现需求层次化、可验证、可追溯的目标。最后将需求与参数进行管理,以参数化的系统需求作为验证的输入,实现对需求中关键技术指标的仿真计算验证。实现逐步迭代、验证和确认,开展正向设计,提升火箭的研制效率及设计质量。该方案全面地贯彻了系统工程的设计理念,主要面向运载火箭总体部门,为相关航天企业提供了数字化转型的思路。 关键词:基于模型的系统工程;运载火箭;需求工程;架构建模;模型验证
基于混合元胞自动机算法的直角流道拓扑优化方法研究
流体流道的优化已成为提升工程系统性能和效率的关键手段。本研究旨在探讨稳态不可压缩纳维-斯托克斯流动的拓扑优化问题。本文将在模拟复杂系统行为方面具有较强优势的混合元胞自动机方法与计算流体力学技术相结合,提出了一种适用于不可压缩流体流道的变密度拓扑优化算法。以直角弯管为研究对象,通过最小化能量耗散作为拓扑优化的目标函数,引入基于局部控制准则的SIMP插值方法,实现了对流体系统性能的显著提升。本研究结果表明,所提出的基于HCA的ALE拓扑优化方法在直角弯管的拓扑优化中展现出优越的性能,具有广泛的工程应用潜力。
基于ABAQUS二次开发的铝合金点蚀坑三维形貌建模研究
点蚀是作为局部腐蚀形式之一,具有破坏性大、隐藏性强等特点,形成的腐蚀缺陷诱发应力集中,对设备的安全服役造成重大隐患。因此,深入探究点蚀坑形貌与位置对结构可靠性的影响具有重要意义。考虑到点蚀坑的概率特性,本文基于ABAQUS框架采用Python语言进行二次开发,实现点蚀形貌的随机重建。结果表明,通过输入适当参数,重建效果与实际腐蚀形貌具有较高的一致性。进一步对重建形貌开展力学模拟,发现应力最大值发生在坑的交叉处,再次验证了有限元模型建立的正确性。研究结果为评估腐蚀损伤演化以及随机点蚀影响下结构的可靠性具有一定的参考意义。
基于CESE算法的喷嘴空化流场特性研究
小型高速喷嘴广泛应用于发动机和液体切割射流等工业领域。柴油机喷嘴内的空化对柴油机的性能会产生严重影响,空化能引起喷嘴内部的空蚀磨损,从而影响喷嘴的使用寿命与性能。但由于喷嘴的流体通道的尺寸非常小,流速又非常高,给直接观察与测量空化与空蚀磨损等研究带来困难。本文利用LS-DYNA软件,采用CESE算法建立了喷嘴的空化模型,随着压力的降低,柴油喷嘴内部逐步发生了初生空化、部分空化及超空化。喷嘴最后一直稳定在喷孔壁面附近空穴一直蔓延至喷孔出口所构成的超空化形态。
流动腐蚀环境下的管材流道壁面性能研究
针对阀门管道内凸起的结构会对流道壁面的材料性能造成严重的现象,选取所搭建实验平台中的试验段建立了数值模型,对流道壁面内部流场进行数值模拟,研究了不同流形对流场的影响规律。研究结果表明:在挡块同一个截面下,随着挡块形状的变化,其速度分布规律变化不大。而同一挡块不同截面的速度分布云图变化较大。平均壁面剪切力排序是:三角形>梯形>矩形>圆拱形。同时根据实验结果可知,在三角形挡块后的流动腐蚀效果要比其他挡块的要明显,而在圆拱形挡块后壁面材料的腐蚀效果最不佳。仿真结果与实验结果具有较好的一致性,并得出了对流道壁面耐蚀性影响最大的障碍物形状为三角形,为阀门管道设计提供理论指导意见。
广东省中小学校和医院建筑抗震能力调研与分析
中小学校和医院人员密集、功能重要,一旦发生地震灾害可能造成严重的人员财产损失,因此《基于保持建筑正常使用功能的抗震技术导则》将其列为在遭受本地区抗震设防地震时保持正常使用功能的建筑。本文调研了近200所中小学校和医院,统计了建造年代和结构形式,分析比较了不同年代建筑的抗震措施。选择了12栋典型学校和医院建筑,根据《导则》复核其设防地震下竖向构件的抗震承载力,结果表明大多数竖向构件不满足《导则》要求。本文提出了既有中小学校和医院建筑抗震能力分类提升方案,便于根据实际情况选择抗震能力提升目标,促进既有学校医院建筑抗震能力提升的实现。
基于FEA的轮胎接地压力分析与调控方法研究
针对轮胎纵沟边缘的接地压力较大的问题,利用有限元分析的方法研究了单个花纹块在不同外轮廓弧高对花纹块边缘接地压力和整体接地压力的影响。结果表明:通过增加花纹块的弧高可以有效降低花纹块的边缘接地压力,整体接地压力的偏度值呈先降低后增加的趋势,合理的增加轮廓弧高可以提高轮胎整体接地压力的均匀性,实验验证了本文方法的有效性。
复杂工况下压气机盘片结构振动分析
本文采用连续参数模型研究叶片轮盘结构的固有振动模态问题,用薄板模拟轮盘,用梁模拟叶片,分析了盘片组合振动下出现的不同组合模态,并分析了不同数量叶片对整体振动的影响。进一步采用单向流固耦合计算对叶片进行结构动力学分析,把非定常计算得出的气动力载荷转化为结构动力学分析中的载荷压力场形式,分析叶片在不同工况条件下的瞬态响应,并进行模态分析。所得结果表明:叶片在气动力作用下承受较大的交变应力幅值,容易发生高周疲劳,且产生了较大的动应力,最大应力值位于叶根前缘。通过分析叶片的各阶模态振型和危险点的位置,可以为叶片的疲劳设计分析提供依据,加强压气机转子叶片运行的安全可靠性。
电池包结构热仿真分析与优化设计
摘要:本文以某款电池包为研究对象,建立了其几何模型,并运用有限体积法对电池包在实际使用过程中的热行为进行了详尽的热仿真分析。重点分析了电池在2C放电条件下的温度变化特征。基于仿真结果,针对电池包的结构进行了优化,探讨了引入L型散热板、采用灌胶散热以及增大电芯间距对电池包散热性能的影响。研究发现,三种优化方案均显著提升了电池包的散热效能,分别使电芯的最高温度降低了3.4℃、11.6℃和1.0℃。 关键词:锂电池;热仿真;灌胶优化;散热装置;电芯间距;
基于有限元仿真的氟泵空调系统底座结构的强度优化分析
摘要: 基于有限元仿真技术,结合优化设计理论方法,以某氟泵空调系统的底座结构为研究对象,创建底座结构的三维模型,利用Hypermesh软件建立有限元模型,并以线性静力学为基础建立FEM模型,通过Optistruct求解整机在平地放置工况下和模拟整机吊起时底座结构的应力与变形情况。为了使底座结构的屈服强度少于Q235B材料的屈服强度,对底座结构进行结构优化改善,再对吊耳放置位置对底座结构整机强度的优化,得到最终优化方案,并对优化后结构进行分析对比。结果表明:优化后的底座结构,除了能承重不变形外,超过材料的屈服强度的区域少;同时观察整机的应力云图可知,整机吊起时吊耳附近区域的受力最严重,确定不同给定吊耳离外围的距离的模拟,确定吊耳离外围400mm时整机的受力最小,屈服强度最少。为后面底座结构的设计和研究提供了重要的参考依据。 关键词:氟泵空调;底座结构;有限元;仿真分析
机翼前缘加强肋的可靠性优化设计
摘要: 本文主要针对机翼前缘加强肋结构,对其进行有限元分析,考虑概率约束,以重量最轻为目标,以几何尺寸等作为设计变量,基于改进Co-Kriging代理模型对其进行可靠性优化设计,在保证概率约束的条件下提升了结构的性能。 关键词:机翼前缘加强肋;有限元分析;改进Co-Kriging代理模型;概率约束;可靠性优化设计 中图分类号:V224.3
基于MBSE的运载火箭需求变更影响分析
摘 要:针对火箭工程系统复杂、研制周期长、需求变更频繁的问题,本文采用MBSE方法论,从任务需求出发,通过运行分析、系统分析、逻辑分析、物理分析,建立需求链,包括需求-需求链和需求-模型链,形成完整的需求依赖图,同时基于需求依赖图,建立需求变更影响分析模式,包括上下层需求的影响、模型的影响,辅助再决策、再配置、再设计,提高需求变更响应速度,提高研发效率,保证变更一致性和闭环管理。
流体介质流速对控制阀阀芯不平衡力的影响
摘要:流体介质在控制阀阀内流动时,由于阀芯的节流作用,流体在阀芯前后的压力会发生变化,阀芯在流体静压和动压的作用下,导致阀芯上产生非均匀分布的力,对于直行程的控制阀,不平衡力主要为使阀芯上下移动的轴向力。针对这个问题,研究了流体介质流速变化对不平衡力的影响。首先,简化了控制阀模型,采用数值模拟方法建立了控制阀瞬态流动分析模型,然后,分析了不同流速时阀芯表面不均匀压力分布规律;最后,研究了不同流速对阀内流动压力及不平衡力的影响。研究结果表明:在同一开度下,阀芯不平衡力随着流速的增大而增大,在同一流速下,阀芯不平衡力随着开度的增大而减小。 关键词:流体介质,控制阀,流速,不平衡力
橡胶疲劳裂纹扩展及非充气轮胎动态生热的热力耦合分析
摘要:疲劳失效和动态生热是橡胶材料制品在服役中面临的两大复杂关键问题。与正弦波形相比,脉冲波形载荷更符合轮胎的实际服役条件。研究了正弦波和两种脉冲波载荷对填充丁苯橡胶疲劳裂纹扩展速率的影响。疲劳试验和红外热成像试验结果表明,脉冲激励时间越短,热积累越快,疲劳裂纹扩展速率越快,更高的滞后能是导致高频加载条件下的更快的疲劳裂纹扩展速率的主要原因。基于橡胶自生热模型和临界平面分析法构建了橡胶动态温升的热力耦合仿真分析方法,并对上述现象进行了机理解释。在此基础上,采用仿真分析方法进行了仿生蜂巢非充气轮胎动态生热特性的预测。该研究可以对高耐久、低生热橡胶材料及制品的开发提供理论支撑。 关键词:橡胶,非充气轮胎,疲劳裂纹扩展,热力耦合,有限元分析
装载机热平衡仿真自动化技术研究与应用
摘要:本文根据作者自行开发的热平衡仿真软件进行装载机热平衡仿真分析的技术研究与应用。主要研究了装载机热平衡仿真计算原理、热平衡仿真计算流程。本文详细介绍如何从实验获得热平衡计算输入参数以及参数的使用方法。本文阐述了热平衡仿真自动化功能实现的方法和意义以及热平衡仿真过程及结果分析。研究在没有一维热平衡软件的参与下仅用三维流体软件实现对散热器热侧和冷侧两端的热交换计算的方法。通过实现热平衡自动化计算,热平衡计算效率提升150%。 关键词:热平衡,自动化,仿真,装载机,CFD
数字化性能样机仿真环境构建及应用
摘要:通过数字化性能样机协同仿真环境建设,以典型结构件为对象将仿真分析纳入管控体系,对当前分散的仿真资源和能力进行整合,对多学科仿真所需的共性技术条件进行一体化建设,推动仿真技术应用模式由专业内部单点技术工具的“手工作坊式”应用向集成化平台支撑下的体系化应用转变,不断提升设计工作的准确性和效率。 关键词:性能样机 仿真 体系化
采用BRB加固的建筑结构在巨震下的抗震性能分析
摘要:本文采用BRB加固的单跨框架结构和框架-剪力墙结构两个既有建筑案例进行巨震下的抗震性能分析。既有单跨框架结构的抗倒塌能力较弱,可采用屈曲约束支撑改变结构体系的方式提高其抗震性能,在应对巨震下具有较好的抗倒塌能力。框架结构在巨震作用下的破坏集中在楼梯及与楼梯相连的竖向构件,应提高楼梯及与楼梯相连的竖向构件的抗震措施,保证逃生通道相关构件在应对巨震下不发生破坏。既有框架-剪力墙结构承载型BRB采用偏置布置方式,在巨震下结构扭转效应加大使角部框架柱损坏严重,建议对承载型BRB采取对称布置方式,提高应对巨震下结构的抗扭能力,以及承载型BRB宜在巨震下屈服,与第一道防线剪力墙共同参与耗能,提高结构的耗能能力。 关键词:单跨框架;楼梯;屈曲约束支撑;抗震性能;巨震;对称布置方式
一体化压铸车身设计与耐久仿真研究
摘要:本文基于某平台开发的一体化压铸车身,解析了SPR、FDS连接工艺特点;介绍了一体化压铸车身前后地板的设计方案,并与传统钢制车身方案进行了对比;阐述了SPR、FDS连接耐久仿真分析应用过程,针对SPR铆钉连接,对比了铆钉加结构胶与不加结构胶下的耐久仿真损伤差异;初步形成一体化压铸车身设计、铆接耐久仿真、铆接仿真耐久评价能力。 关键词:一体化压铸;铆接连接;耐久仿真
主动悬架耐久载荷研究
摘要:传统减振器的阻尼大小及阻尼速率的相对关系是固定的,所以舒适和操控无法同时兼顾。为了满足车辆更多的需求,根据不同路况平衡舒适性和操控性的矛盾,人们对阻尼可调的减振器需求越来越突出。本文针对我公司某主动悬架车型,对悬架仿真模型进行校核,并进行整车多体动力学模型和减振器simulink模型联合仿真分析,虚拟载荷谱与实测载荷谱进行对比,结果一致性可表明载荷分析方法及建模的准确性,为底盘及车身部件疲劳准确预测提供支持。 关键词:主动悬架,联合仿真, simulink模型
基于SAR的埋地管道安全监测研究进展
摘要 随着能源需求的不断增长和油气管道网络的不断扩展,埋地油气管道的安全监测成为保障国家能源安全的重要议题。合成孔径雷达(SAR)技术以其高分辨率、全天候、全天时的监测能力,在埋地油气管道安全监测中展现出显著优势。本文系统综述了基于SAR的埋地油气管道安全监测技术的最新研究进展,分析了SAR技术的基本原理及其在油气管道监测中的具体应用方式。通过典型案例分析,验证了SAR技术在油气管道泄漏检测、腐蚀评估及地质灾害预警等方面的有效性。同时,本文深入探讨了监测技术流程、数据处理与分析方法,以及监测结果的评估与验证方法,全面展示了基于SAR的油气管道安全监测技术的完整流程。然而,该技术在实际应用中仍面临地表覆盖物干扰、图像配准难题及异常检测算法精度等挑战。为此,本文提出了加强SAR图像预处理、创新特征提取与异常检测算法、推动多源数据融合等解决方案,并展望了高分辨率SAR技术、智能化监测技术及大数据云计算融合等未来发展趋势。本文的研究成果不仅丰富了基于SAR的埋地油气管道安全监测技术的理论体系,也为未来研究和实践提供了有益的参考和启示。
初始裂纹对壳体裂纹扩展路径的影响研究
近场动力学采用积分形式的平衡方程,能很好地处理材料结构的连续性和非连续性,能够描述从微观损伤到宏观裂纹等一系列力学行为。本文基于微梁键构建了几何非线性近场动力学壳模型,并探究了初始裂纹分布情况对壳结构裂纹扩展路径的影响规律。首先通过改进的拉格朗日公式推导出在各几何非线性增量步长下的虚拟应变能密度公式,并且建立几何非线性近动(PD)壳的本构模型;然后,构建几何非线性壳的PD-CCM耦合模型以及适用于该耦合模型的断裂准则;最后,通过带有预制裂纹的弯曲壳结构研究了初始裂纹分布情况对壳结构裂纹扩展路径影响的规律。
两级增压系统柴油机性能的仿真与优化
善柴油机排放水平的有效手段之一是应用米勒循环技术。米勒循环的凸轮轴进气门早关必然会带来缸内的进气量不足。针对这一现象,两级增压系统能够很好地解决这一难题。新鲜空气经过两级增压器的压缩,为柴油机提供更大的增压压力及进气量,以弥补进气门早关带来的进气量不足。 但是,两级增压系统的高温高原和低温的全程适应性略差了一些。本文以16V240H两级增压系统为例,研究了在满足高温高原的情况下,低温的运行特性。受增压器特性和废气旁通门的限制,低温适应性受到影响。针对适应性差的问题,提出优化改进措施。使柴油机在满足高排放水平的同时,具有面对高温高原和低温的更好的适应性。
铁磁流体化学机械抛光的深度学习算法
介绍了一种直角坐标系下的受电流导线作用的铁磁流体CMP雷诺方程模型,并且使用了目前主流的SA-PINNs方法,将其与基于残差的自适应细化方法(RAR)相结合对模型进行求解,这样可以基于实验手段采集的数据集进一步提高模型求解的准确性。首先,考察了电流导线产生的非均匀磁场和抛光参数对CMP过程中晶片表面压力分布的影响。之后,假设CMP模型中抛光液的粘度是未知的,基于一些观测数据,使用了PINN学习得到了抛光液粘度的近似值,同时也得到了抛光液的压力预测分布。数值结果表明,深度学习算法是基于数据集求解铁磁流体CMP模型的一类新算法。
柴油机排气系统仿真优化与试验验证
为提高柴油机的动态响应特性,将满足EU ⅢA排放水平的两级增压系统柴油机更改为单级增压。本文主要从排气系统优化的角度出发,经过柴油机的性能试验验证,确定排气系统最终方案。为适应铁路机车多用途需求,提供动态响应能力更强的一款柴油机。
海上风电半潜浮式平台稳性计算方法及其影响因素的研究
半潜浮式平台是广泛用于海上风电等海洋工程中,其稳定性是设计和运维的重要指标,直接影响平台的安全性和功能性。本文改进了现有的基于等排水体积的稳性计算方法。基于边界元法(BEM),通过坐标变换对浮体进行几何建模,离散成网格单元,计算不同倾斜角下的浮心位置和稳性力臂。此外,还针对漂浮式海上风电机组的柱稳式半潜平台的结构特点,建立了参数化的浮式平台稳性计算方法。本文通过与SESAM软件的计算结果对比验证了所提方法的准确性。基于边界元的坐标变换法适用于大多数海上浮式平台,而参数化的计算方法主要针对柱稳式对称布置的海上浮式平台,对于我国普遍使用的半潜式平台具有较大的应用潜力。
基于能量法的空间点阵等效性能参数计算方法
本文基于能量法,推导了12面体空间点阵的弹性系数、热膨胀、热导率等效计算方法,解决了基于增材制造的12面体空间点阵的计算问题,其方法可以拓展至其它类型空间点阵的优化设计,为增材制造空间点阵结构计算评估提供计算手段和思路。